Aller au contenu principal
Actualités
YouTube
Fr
En
Menu
Navigation principale
Accueil
À Propos
Missions, valeurs, organisation
Qu’est ce que CNRS Physique ?
Organigramme
Recherche
Thématiques, structures, laboratoires
Thématiques de recherches
Groupements de recherche
Stratégie
Prospectives, Innovation, International
La physique à l’horizon 2030
Innovation
International
Actions
Soutien, Accompagnement
Tremplin et Émergence
Parité et égalité
Transition Environnementale
Accompagnement
Mentorat
Talents
Prix et distinctions
Navigation secondaire
Actualités
Agenda
Appels à candidature
Librairie
Annuaires
Intranet
Faire un don
Fr
En
CNRS Header Ontheweb
Fil d'Ariane
Accueil
Actualités
Actualités
Catégories
CNRS Le journal
Innovation
Résultat scientifique
Europe et International
Vidéos
Reportages photos
CNRS Images
Institutionnel
Distinction
Hommage
Espace presse
Médiation scientifique
Femmes en physique
Thématiques
Atomes et molécules
Instrumentation
Interactions fondamentales
Lasers et plasmas
Matériaux
Matière molle
Nanosciences
Optique et métrologie
Physique et biologie
Physique non linéaire
Physique statistique
Terre et Univers
Physique des solides
Physique quantique
Espace presse
31.03.2026
Institutionnel
Une année avec CNRS Physique 2025
26.03.2026
Institutionnel
Un nouveau groupement de recherche pour concevoir des matériaux et dispositifs durables
17.03.2026
Institutionnel Europe et International
Programmes européens : « Affirmer la physique à la fois comme discipline fondamentale et levier pour l’innovation »
19.07.2018
Innovation
Abbelight accélère les projets de microscopie en super résolution
http://www.cnrs.fr/lettre-innovation/actus.php?numero=515
19.07.2018
Innovation
Un laboratoire commun international entre le CNRS et Hitachi High Technologies Corporation
http://www.cnrs.fr/lettre-innovation/actus.php?numero=520
18.07.2018
Femmes en physique Institutionnel
Astrid Lambrecht prend la direction de l’INP
11.07.2018
Résultat scientifique Atomes et molécules
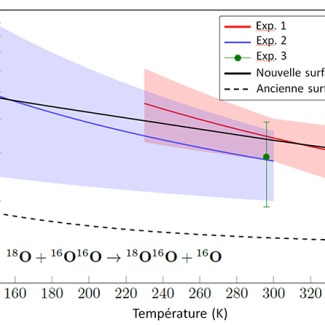
La réaction d’échange isotopique de l’oxygène enfin comprise
06.07.2018
Résultat scientifique
Les agrégats de méningocoques coulent dans les vaisseaux sanguins comme un liquide visqueux
02.07.2018
Résultat scientifique Physique statistique
Le rôle des parois dans l’émergence d’un comportement collectif dans une assemblée de scarabées vibrants
29.06.2018
Lancement d'un laboratoire commun international entre le CNRS et Hitachi High Technologies Corporation
http://www.cnrs.fr/fr/lancement-dun-laboratoire-commun-international-entre-le-c…
28.06.2018
Distinction
Alain Pumir nommé membre scientifique externe de la société Max-Planck
Afficher plus +